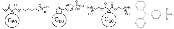
In this context, a range of fullerene derivatives bearing carboxylic and, particularly, phosphonic acid have been synthesized and are available to cell developers. Having the capability to form self-assembled monolayers (SAMs), e.g., on SnO2, particularly bis-versions of such molecules, offers the ability to stabilize the perovskite phase. Ammonium bearing fullerene derivatives, such as C60-malonate-2NH3l, target
interface passivation, particularly, in p-i-n architectures. Recently, a tri-phenylamine bearing phosphonic acid has been synthesized and is available for evaluation as HTM.
Further, Nano-C offers coat-ready formulations of carbonaceous nanomaterials, particularly but not only, single-walled carbon nanotubes to be used as opaque top-electrode for single-junction Perovskite devices.
Materials like fullerenes, NFAs, nanocarbons, and silver nanowires all promise to play an
important role in the large-scale adoption of next generation solar cells. The need for materials with unique properties, such as high electron mobility, chemical and thermal stability when accepting electrons, and ability to form thin, defect-free semiconductor films, is essential for high-performance devices.
We are Exhibiting in Berlin.
Visit our booth at the Perovskite Connect event co-located with the Future of Electronics RESHAPED on 22-23 October 2025 in Berlin. Contact us for your special discount coupon to attend!